Otomotiv Distribütörleri ve Mobilite Derneği, sektörün merakla beklediği 2025 yılı pazar verilerini kamuoyuyla paylaştı.
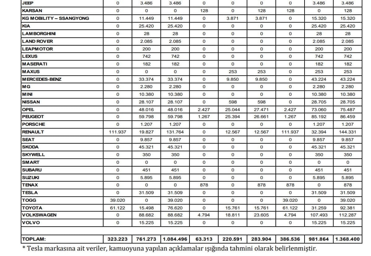
Açıklanan rapora göre toplam pazar geçen yıla oranla yüzde 10,49 artış göstererek 1 milyon 368 bin 400 adetlik satış rakamına ulaştı.
Bu satışların 1 milyon 084 bin 496 adedini otomobiller, 283 bin 904 adedini ise hafif ticariler oluşturdu.
ARALIK AYINDA SATIŞLAR ZİRVEYE ÇIKTI
Yıl sonu kampanyalarının etkisiyle sadece Aralık ayında toplam pazar yüzde 12,55 oranında büyüyerek 191 bin 620 adet seviyesine yükseldi.
Bu dönemde otomobil satışları 146 bin 319 adet olurken, hafif ticari araç satışları yüzde 27,83 artışla 45 bin 301 olarak gerçekleşti.

SUV MODELLERİNİN HAKİMİYETİ SÜRÜYOR
Gövde tipi tercihlerinde liderliği elinde bulunduran SUV modelleri, yılı yüzde 61,9 pazar payı ve 671 bin 819 adetlik satışla kapattı.
Pazarın segment dağılımında ise satılan araçların yüzde 55’ini oluşturan C segmenti modeller liderliğini korudu.
ELEKTRİKLİ VE HİBRİT ARAÇLARA İLGİ ARTTI
Motor tipi tercihlerinde benzinli araçlar satılan her iki otomobilden biri olmayı başarırken, hibrit modeller yüzde 27,2 pazar payına ulaştı.
Elektrikli otomobiller 191 bin 960 adet satışla üçüncü sıraya yerleşirken, dizel motorlu araçların payı yüzde 7,4 seviyesinde kaldı.
“1.5 MİLYON SEVİYESİ GÖRÜLECEK”
Otomobil ve hafif ticari araç pazarına ilişkin değerlendirmelerde bulunan ODMD Başkanı Ali Haydar Bozkurt, heyecanlı bir yılın geride bırakıldığını belirterek, 1,5 milyon adetlik pazar seviyesinin ilerleyen dönemlerde görüleceğini söyledi.
Bozkurt, otomotiv sanayisinin 2025 yılında 42 milyar dolarlık ihracat gerçekleştirdiğini hatırlatarak, bunun son derece önemli bir rakam olduğunu kaydetti.






GÜNDEM
08 Ocak 2026GÜNDEM
08 Ocak 2026GÜNDEM
08 Ocak 2026GÜNDEM
08 Ocak 2026GÜNDEM
08 Ocak 2026GÜNDEM
08 Ocak 2026GÜNDEM
08 Ocak 2026GENEL
08 Ocak 2026
1
Trump’tan seçim sonrası ilk mülakat
7813 kez okundu
2
Avusturya başbakanı Sebastian Kurz ile ilgili bilinmeyenler
4743 kez okundu
3
Joe Biden 6 aylık hedeflerini açıkladı. Senato buz gibi…
3916 kez okundu
4
Putin’den Ermenistan’ı yıkan açıklama: Karabağ Azerbaycan’ın ayrılmaz bir parçasıdır!
2151 kez okundu
5
Kıvanç Tatlıtuğ’dan evliliğine dair çok çarpıcı röportaj.
2037 kez okundu